EDInfo Biomedical Sciences Maciver Lab. Home ABP  A-Z Encyclopaedia Amoebae Protist Links Cytoskeleton Links Site Index

Aplyronines

page updated 4/10/02

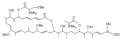
A cytotoxic macrolide from the sea hare Aplysia kurodai that has actin-depolymerizing activity (Yamada et al, 1993; Kigoshi et al, 2002).
Aplyronine A
References:-

Kigoshi, H., Suenaga, K., Takagi, M., Akao, A., Kanematsu, K., Kamei, N., Okugawa, Y. & Yamada, K. (2002) Cytotoxicity and actin-depolymerizing activity of aplyronine A, a potent antitumor macrolide of marine origin, and its analogs. Tetrahedron. 58, 1075-1102.

Yamada, K., Ojika, M., Ishigaki, T., Yoshida, Y., Ekimoto, H., & Arakawa, M. (1993). J.Am. Chem.Soc. 115, 11020-11021.

 
  EDInfo Biomedical Sciences Cytoskeletal Links Encyclopaedia of A.B.P.s The Amoebae Protozoology links Glossary of Amoeba terms   Maciver Lab Home