EDInfo Biomedical Sciences Maciver Lab. Home ABP  A-Z Encyclopaedia Amoebae Protist Links Cytoskeleton Links Site Index

(-)-Doliculide

Page updated 3/10/02

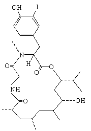
Extracted from the sea hare (mollusc, nudibranch) Dolabella auricularia, (-)-doliculide is an actin-binding drug that competes with phalloidin for binding (Bai et al, 2002).  The drug like the Dolastatins isolated from the same sea hare doliculide is suspected of actually accumulating in the sea hare from cyanobacteria it is feeding on.  The structure of (-)-doliculide is similar to Jasplakinolide and the Chondramides that also compete with phalloidin for actin binding.
From Bai et al, 2002
Reference:-

Bai, R., Covell, D. G., Liu, C., Ghosh, A. K. & Hamel, E. (2002) (-)-Doliculide, a new macrocyclic depsipeptide enhancer of actin assembly. J. Biol. Chem. 277, 32165-32171.

 
  EDInfo Biomedical Sciences Cytoskeletal Links Encyclopaedia of A.B.P.s The Amoebae Protozoology links Glossary of Amoeba terms   Maciver Lab Home